EVET, ÖNLEYEBİLİRİZ!
Küresel Etkiyi değerlendiren çalışma:
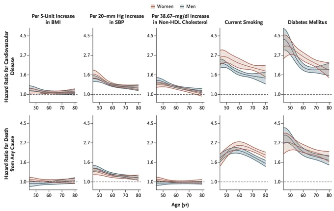
Kardiyovasküler Hastalıklar İçin 5 Risk Faktörü!
1. Kilo
2. Yüksek Tansiyon
3. Kolesterol
4. Şeker hastalığı
5. Sigara
Yeni çalışma, 34 ülkede 1.5 milyondan fazla katılımcının verilerini analiz ediyor.
Kadınların %57.2’si ve erkeklerin %52.6’sı değiştirilebilir risk faktörlerine bağlanan vakalara işaret ediyor.
Hedefe yönelik önleme için önemli bir adım!

